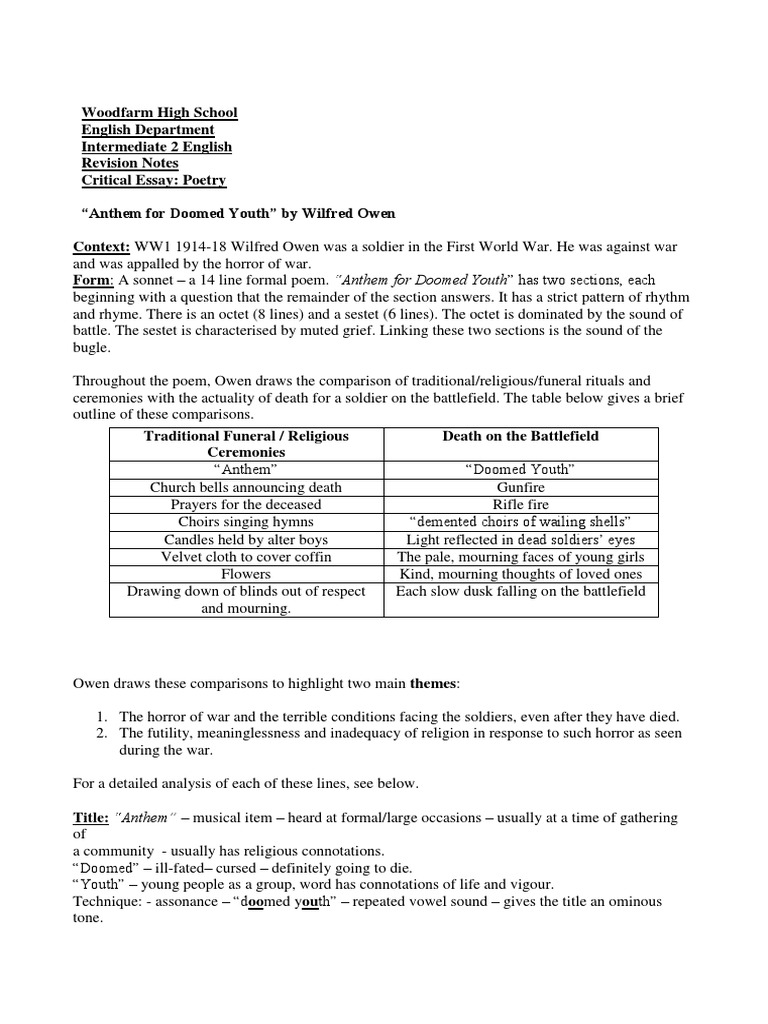
Anthem For Doomed Youth Poetic Techniques Used / Wilfred owen's war poetry is shaped by an intense focus on extraordinary human experiences.

Anthem For Doomed Youth Poetic Techniques Used / Wilfred owen's war poetry is shaped by an intense focus on extraordinary human experiences.. Riesige auswahl an cds, vinyl und mp3s. Anthem for doomed youth was written by british poet wilfred owen in 1917, while owen was in the hospital recovering from injuries and trauma resulting from his military service during world war i. Things in a world at war are not as they seem. The poem anthem for doomed youth is a lyric written in sonnet form. Both of the brutality of war, and of religion.

The first part of the poem takes place during a pitched battle, whereas the second part of the poem is far more abstract and happens outside the war, calling back to the idea of the people waiting at home to hear about their loved. The sonnet 'anthem for doomed youth', by wilfred owen, criticizes war. Anthem for doomed youth is a poem by wilfred owen in which there is a sinister atmosphere evoked by the poet's use of imagery, rhythm, alliteration, symbolism and structure. The poem does this by using visual senses that help the reader understand the unpleasantness of war and death of the soldiers. By juxtaposing the symbol s which accompany christian burial e.g.

Pdf Expressionist Analysis Of Wilfred Owen S Poems Anthem For Doomed Youth Dulce Et Decorum Est A Terre Futility And Strange Meeting Khamsa Qasim Academia Edu
Pdf Expressionist Analysis Of Wilfred Owen S Poems Anthem For Doomed Youth Dulce Et Decorum Est A Terre Futility And Strange Meeting Khamsa Qasim Academia Edu from 0.academia-photos.com
Poetry techniques used in 'anthem for doomed youth'. The poem basically focuses on the pointlessness of war due to the immense fatality it causes. Anthem for doomed youth is a sonnet written mostly in iambic pentameter. It has the octect / sestet structure of the italian petrarchan sonnet, but is loosely based on the rhyme scheme of the english shakespearean sonnet. The poem 'anthem for doomed youth', written by wilfred owen, is an one stanza poem which explores the bruality and horror of war. Throughout the poem 'anthem for doomed youth' by wilfred owen there is constant use of visual and aural imagery to inform the audience about the poets experiences of war. 'anthem for doomed youth' aims to give a clear reference to the audience, a glimpse of the awful realities of life and death in the trenches. The use of assonance in 'doomed youth' with repeated vowels gives the poem a despairing and disdainful tone.

Anthem for doomed youth uses a peculiar form, as the poem is written in sonnet form.

It has the octect / sestet structure of the italian petrarchan sonnet, but is loosely based on the rhyme scheme of the english shakespearean sonnet. The sonnet 'anthem for doomed youth', by wilfred owen, criticizes war. Sonnets are usually used to symbolize romance and love, whereas this poem describes the horrors of war, and war's effect on the families of soldiers and their funeral procedures. The speaker is wilfred owen, whose tone is first bitter, angry and ironic. Wilfred owen was born on 18th march 1893, in oswestry, united kingdom, and his poems are famous through the use of descriptive words to portray the pity of the war, which is a common theme throughout all of his poems. By juxtaposing the symbol s which accompany christian burial e.g. Owen uses alliteration in correspondence with onomatopoeia, to highlight the alliteration that is being used for example rifles rapid rattle. Here are two examples of repetition in the poem. The title used for the poem is ironic and instantaneously shatters the fantasized images of war contributing to the theme of the two nations. The poem 'anthem for doomed youth', written by wilfred owen, is an one stanza poem which explores the bruality and horror of war. Wilfred owen helps us visualise the terrible conditions the. Owen is all about exploring how war can twist the way we see the world; Wilfred owen has also employed some literary devices in this poem to express his ideas.

The poet wilfred owen uses alliteration of rifles rapid rattle to create a rhythm and flow to the poem, it emphasizes the sound of a rapidly fired gun. Owen creates such a dull tone throughout this poem and undermines the soldiers by labelling them as 'cattle' which suggests that they are indeed cannon fodder. Passing bells, orison s and candles, with the images of the slaughter house ('die as cattle'), owen shocks the reader with the horror of war. Owen uses alliteration to give the poem a rhythm. The title of the poem anthem for doomed youth is significant in imparting meaning to the poem.

Themes Of The Anthem Of The Doomed Youth And Its Message Analysis Of Contrasting War Poems
Themes Of The Anthem Of The Doomed Youth And Its Message Analysis Of Contrasting War Poems from analysisofcontrastingwarpoems.weebly.com
The poet uses poetic techniques such as diction, imagery, and sound to convey his idea. Imagery and symbolism in anthem for doomed youth anthem for doomed youth relies heavily on the use of imagery from christian rituals. Wilfred owen was born on 18th march 1893, in oswestry, united kingdom, and his poems are famous through the use of descriptive words to portray the pity of the war, which is a common theme throughout all of his poems. The first part of the poem takes place during a pitched battle, whereas the second part of the poem is far more abstract and happens outside the war, calling back to the idea of the people waiting at home to hear about their loved. In november 1918 he was killed in action at the age of 25, one. Both of the brutality of war, and of religion. Anthem for doomed youth was written by british poet wilfred owen in 1917, while owen was in the hospital recovering from injuries and trauma resulting from his military service during world war i. The title of the poem anthem for doomed youth is significant in imparting meaning to the poem.

The speaker is wilfred owen, whose tone is first bitter, angry and ironic.

Owen uses alliteration to give the poem a rhythm. Men become cattle, artillery shells become choirs, and tears become candles. The first part of the poem takes place during a pitched battle, whereas the second part of the poem is far more abstract and happens outside the war, calling back to the idea of the people waiting at home to hear about their loved. Written in sonnet form, 'anthem for doomed youth' serves as a dual rejection: Techniques used in 'anthem for doomed youth' in the poem 'anthem for doomed youth', the techniques alliteration, imagery, and personification are used. In november 1918 he was killed in action at the age of 25, one. Anthem for doomed youth uses a peculiar form, as the poem is written in sonnet form. Wilfred owen was born on 18th march 1893, in oswestry, united kingdom, and his poems are famous through the use of descriptive words to portray the pity of the war, which is a common theme throughout all of his poems. To achieve this, owen used familiar imagery techniques of similes and assonance, and sound devices such as onomatopoeia and alliteration. The 'anthem for doomed youth' is a poem written by wilfred owen on september 1917. The poem basically focuses on the pointlessness of war due to the immense fatality it causes. Wilfred owen has also employed some literary devices in this poem to express his ideas. Anthem for doomed youth by wilfred owen about this poet wilfred owen, who wrote some of the best british poetry on world war i, composed nearly all of his poems in slightly over a year, from august 1917 to september 1918.

The poet wilfred owen uses alliteration of rifles rapid rattle to create a rhythm and flow to the poem, it emphasizes the sound of a rapidly fired gun. The poem is entitled anthem for doomed youth., one should note that the word anthem refers to a song, patriotic in nature which is synonymous with praise for one's country and support of its troops. Wilfred owen's war poetry is shaped by an intense focus on extraordinary human experiences. The use of assonance in 'doomed youth' with repeated vowels gives the poem a despairing and disdainful tone. The poem anthem for doomed youth is a lyric written in sonnet form.

Anthem For Doomed Youth Analysis Youtube
Anthem For Doomed Youth Analysis Youtube from i.ytimg.com
Owen's use of personification in anthem for doomed youth degrades the soldiers to objects to show how the war dehumanized them to intentionally create a disconnect between the audience and the soldiers. The first part of the poem takes place during a pitched battle, whereas the second part of the poem is far more abstract and happens outside the war, calling back to the idea of the people waiting at home to hear about their loved. Throughout the poem 'anthem for doomed youth' by wilfred owen there is constant use of visual and aural imagery to inform the audience about the poets experiences of war. It has a noticeable rhyme scheme. The poet used images, metaphors, similes, figurative languages, symbols, and other literary devices in conveying his message. — only the monstrous anger of the guns. Wilfred owen was born on 18th march 1893, in oswestry, united kingdom, and his poems are famous through the use of descriptive words to portray the pity of the war, which is a common theme throughout all of his poems. The poet uses poetic techniques such as diction, imagery, and sound to convey his idea.

The poet wilfred owen uses alliteration of rifles rapid rattle to create a rhythm and flow to the poem, it emphasizes the sound of a rapidly fired gun.

Techniques used in 'anthem for doomed youth' in the poem 'anthem for doomed youth', the techniques alliteration, imagery, and personification are used. 'anthem for doomed youth' aims to give a clear reference to the audience, a glimpse of the awful realities of life and death in the trenches. — only the monstrous anger of the guns. The first part of the poem takes place during a pitched battle, whereas the second part of the poem is far more abstract and happens outside the war, calling back to the idea of the people waiting at home to hear about their loved. Owen's use of personification in anthem for doomed youth degrades the soldiers to objects to show how the war dehumanized them to intentionally create a disconnect between the audience and the soldiers. Written in sonnet form, 'anthem for doomed youth' serves as a dual rejection: The poem anthem for doomed youth is a lyric written in sonnet form. To achieve this, owen used familiar imagery techniques of similes and assonance, and sound devices such as onomatopoeia and alliteration. Anthem for doomed youth by wilfred owen about this poet wilfred owen, who wrote some of the best british poetry on world war i, composed nearly all of his poems in slightly over a year, from august 1917 to september 1918. Anthem for doomed youth uses a peculiar form, as the poem is written in sonnet form. Poetic techniques in anthem for doomed youth. The alliteration is highlighted by the use of an onomatopoeia; Riesige auswahl an cds, vinyl und mp3s.

Related : Anthem For Doomed Youth Poetic Techniques Used / Wilfred owen's war poetry is shaped by an intense focus on extraordinary human experiences..